HUBER+SUHNER SUCOFLEX® 104 Microwave Cable Assemblies
HUBER+SUHNER SUCOFLEX® 104 Microwave Cable Assemblies with the most ruggedization can be universally assembled with a wide range of connector types. These cable assemblies are capable of working up to 26.5GHz. HUBER+SUHNER SUCOFLEX 104 cable assemblies feature quick-lock nuts, high-stability, low loss, and VNA-specific connectors. These cable assemblies offer 50Ω impedance, 4.3ns/m signal delay, and -55°C to 165°C operating temperature range.Features
- 50Ω impedance
- Up to 26.5GHz frequency
- High stability
- Low loss
- Wide range of connectors
- VNA-specific connectors
- Quick-lock nuts
- 87pF/m capacitance
- 4.3ns/m signal delay
- ≥1 x 108MΩm insulation resistance
- ≤2.6kVrms maximum operating voltage
- -55°C to +165°C operating temperature range
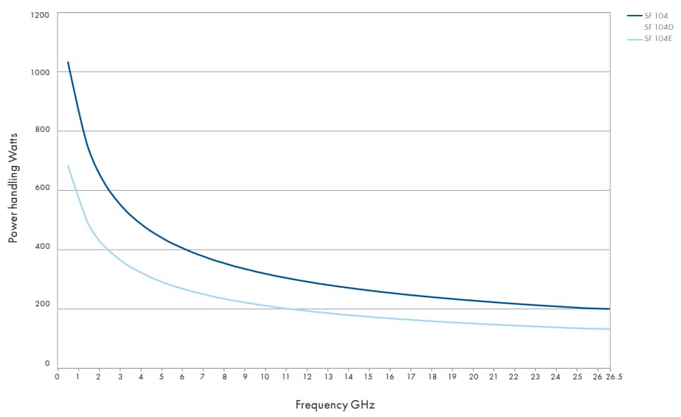
Power Handling
Additional Resources
Associated Tool
Publicerad: 2019-07-22
| Uppdaterad: 2025-04-15
