NXP Semiconductors LPC11xx Arm Cortex-M0 Microcontrollers
NXP Semiconductors LPC11xx Arm Cortex-M0 Microcontrollers (MCUs) offer exceptional power efficiency, a broad selection of package options, and a scalable portfolio with connectivity including USB, LCD, and CAN interfaces. The LPC11xx MCU family is designed for 8/16-bit microcontroller operations, offering performance, low power, simple instruction set with reduced code size compared to existing 8/16-bit architectures. The peripheral complement of the LPC11xx family includes up to 64 KB of flash memory, up to 8KB of SRAM, fast-mode plus I2C-bus interface, RS-485/EIA-485 UART, SPI with SSP features, general-purpose counters/timers, an analog-to-digital converter (ADC), and up to 42 general-purpose I/O pins.
Features
- System
- Arm Cortex-M0 processor, running at frequencies of up to 50MHz
- Arm Cortex-M0 built-in nested vectored interrupt controller (NVIC)
- Non-maskable interrupt (NMI) input selectable from several input sources
- Serial wire debug
- System tick timer
- Memory
- Up to 64KB on-chip flash programming memory
- Up to 8KB SRAM
- In-system programming (ISP) and In-application programming (IAP) via on-chip bootloader software
- Serial interfaces
- Up to 3 UARTs with fractional baud rate generation, internal FIFO, and RS-485 support
- Up to 2 SPI controllers with SSP features and with FIFO and multi-protocol capabilities
- I2C-bus interface supporting full I2C-bus specification and fast-mode Plus with a data rate of 1Mbit/s with multiple address recognition and monitor mode (not on LPC1112FDH20/102)
- Digital peripherals
- Up to 42 general-purpose I/O (GPIO) pins with configurable pull-up/pull-down resistors, configurable open-drain mode is also supported on LPC1100L and LPC1100XL series
- GPIO pins can be used as edge and level-sensitive interrupt sources
- High-current output driver (20mA) on one pin
- High-current sink drivers (20mA) on 2 I2C-bus pins in fast-mode plus (not on LPC1112FDH20/102)
- 4 general-purpose counters/timers with up to 8 capture inputs and up to 13 match outputs
- Programmable windowed WDT
- Analog peripherals
- 10/12-bit ADC with up to 2 Msamples/s and up to 8 channels
- Clock generation
- 12MHz internal RC oscillator trimmed to 1% accuracy that can optionally be used as a system clock
- Crystal oscillator with an operating range of 1MHz to 25MHz
- Programmable watchdog oscillator with a frequency range of 9.4kHz to 2.3MHz
- PLL allows CPU operation up to the maximum CPU rate without the need for a high-frequency crystal. May be run from the system oscillator or the internal RC oscillator
- Clock output function with divider that can reflect the system oscillator clock, IRC clock, CPU clock, and the Watchdog clock
- Power control
- Integrated PMU (Power Management Unit) to minimize power consumption during Sleep, Deep-sleep, and Deep power-down modes
- Power profiles residing in boot ROM allow for optimizing performance and minimize power consumption for any given application through one simple function call
- 3 reduced power modes: Sleep, Deep-sleep, and Deep power-down
- Processor wakeup from deep-sleep mode via a dedicated start logic using up to 13 of functional pins
- Power-on reset (POR)
- Brownout detection with up to 4 separate thresholds for interrupt and forced reset
- Additional features
- Unique device serial number for identification
- Single power supply (1.8V to 3.6V)
- WLCSP16, SO20, TSSOP20, TSSOP28, HVQFN24, HVQFN33, TFBGA48, and LQFP48 packages
Applications
- Battery-powered systems
- E-metering
- Consumer peripherals
- Remote sensors
- 16-bit applications
Videos
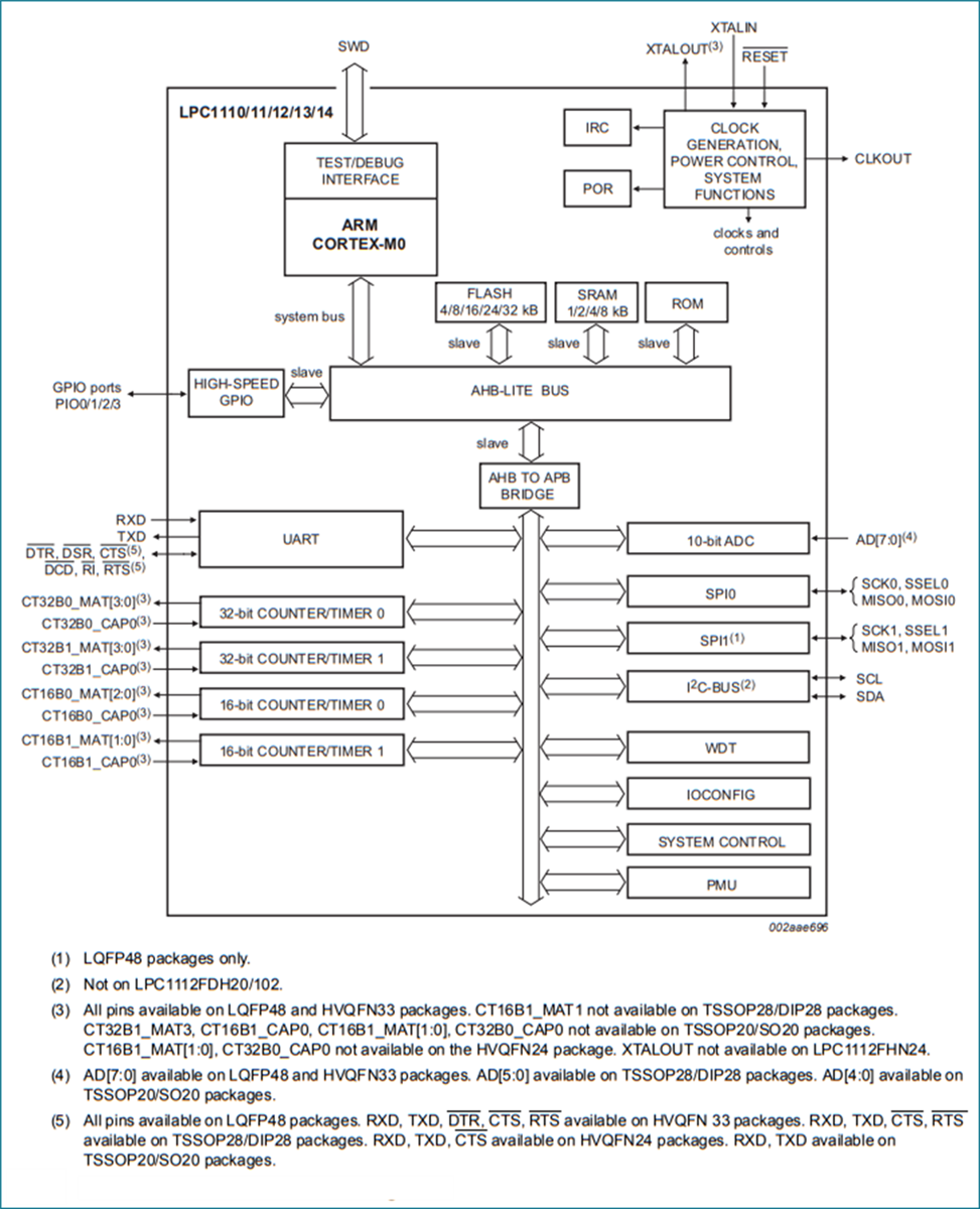
Block Diagram
Publicerad: 2009-12-18
| Uppdaterad: 2026-02-03
